Coriell Institute for Medical Research
Request a Quote
Donate
Login
View Cart
Samples
OR
Website
Sample Catalog
|
Custom Services
|
Core Facilities
|
Genomic Data Search
Navigation Header
Biobank
NIGMS
NINDS
NIA
NHGRI
NEI
Allen Cell Collection
Rett Syndrome iPSC Collection
Autism Research Resource
HD Community Biorepository
CDC Cell and DNA
J. Craig Venter Institute
Orphan Disease Center Collection
All Biobanks
Research
Overview
Meet Our Scientists
Our Faculty
Our Scientific Staff
Camden Cancer Research Center
Epigenetic Therapies SPORE
Core Facilities
Epigenomics
Camden Opioid Research Initiative (CORI)
The Issa & Jelinek Lab
The Jian Huang Lab
The Luke Chen Lab
The Lab
The Team
Publications
The Scheinfeldt Lab
The Shumei Song Lab
The Nora Engel Lab
The Lab
The Team
Publications
Publications
Services
Overview
Biobanking Services
Core Services
Project Management
Research Support Services
Sample Cataloging
Sample Collection Kits
Sample Data Management
Sample Distribution
Sample Management
Sample Procurement
Sample Storage
Bioinformatics and Biostatistics Services
Cellular and Molecular Services
Biomarker Research Solutions
Cell Culture
Nucleic Acid Isolation and Quality Control
Clinical Trial Support
Overview
Sample Collection
Data Management
Sample Processing and QC
Storage and Distribution
Biomarker Services
Data Analaysis
Core Facilties
Overview
Animal and Xenograft
Bioinformatics and Biostatistics
Cell Imaging
CRISPR Gene Engineering
Flow Cytometry and Cell Sorting
Genomics and Epigenomics
iPSC - Induced Pluripotent Stem Cells
Organoids
Coriell Marketplace
Genomic, Epigenomic and Multiomics Services
Stem Cells and iPSC Services
Core Services
Reprogramming
Characterization and Quality Control
Differentiated Cell Lines
iPSC-Derived Organoids
iPSC Expansion
iPSC Gene Editing
Ordering
Stem Cells
Cell Lines
DNA and RNA
Featured Products
FFPE
HMW DNA
Genomic Data Search
Search by Catalog ID
Help
Create Account
Order Online
Ordering FAQ
FAQs/Culture Instructions
Reference Materials
Biobanks
NIGMS Repository
NHGRI Repository
NINDS Repository
NIA Repository
NIST
GeT-RM
Secondary Distribution Policies
MTA Assurance Form
Shipment Policy
Contact Customer Service
About Us
About Coriell
Meet Our Team
Meet Our Board
Education
Science Fair
Summer Experience
Outreach
Research Program Internship
Press Room
Press Releases
Coriell Blog
Annual Report
Careers
Working at Coriell
Verifications of Employment
Giving
Donate
Giving FAQ
Contact Us
Notices
Legal Notice
IBC Minutes
Login
View Cart
search submit
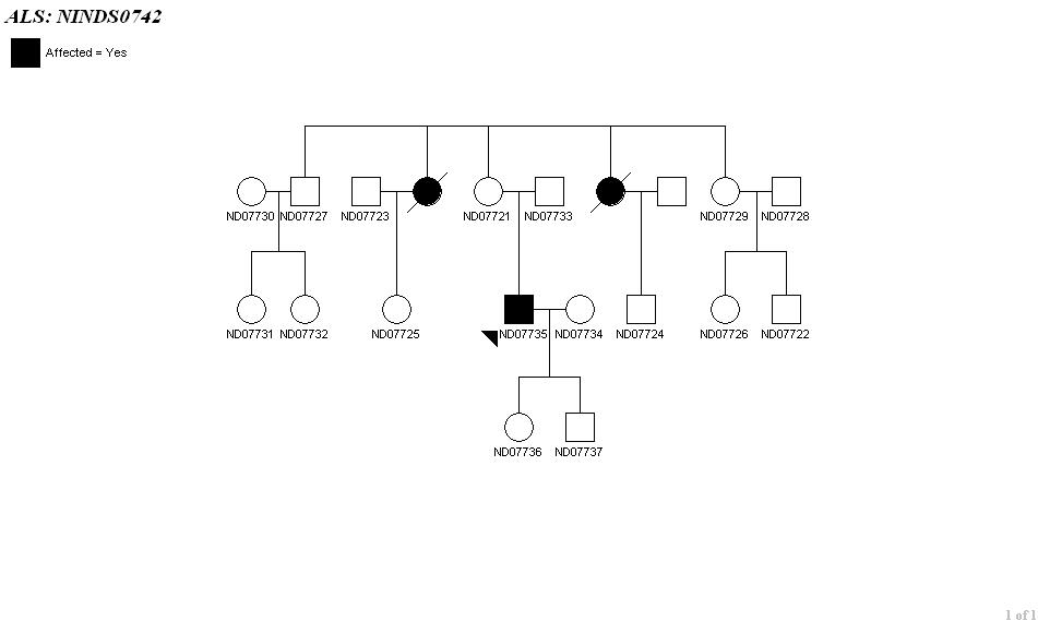
ND07730
DNA
from
LCL
Description:
POPULATION/CONVENIENCE CONTROL
NEUROLOGICALLY NORMAL CAUCASIAN CONTROL PANEL
Affected:
No
Sex:
Female
Age:
70
YR
(At Sampling)
Sample Description
Overview
Phenotypic Data
External Links
Images
Overview
Repository
NINDS Repository
Subcollection
Control
Quantity
20 µg
Quantitation Method
Please see our
FAQ
Biopsy Source
Peripheral vein
Cell Type
B-Lymphocyte
Tissue Type
Blood
Transformant
Epstein-Barr Virus
Sample Source
DNA from LCL
Race
White
Subject Type
family with at least 3 members, including 1 proband, not a trio
Family Type
MULTIGENERATIONAL FAMILIES - ONE AFFECTED
Ethnicity
Not Hispanic/Latino
Country of Origin
USA
Family Member
11
Family History
N
Relation to Proband
aunt-in-law
Species
Homo
sapiens
Common Name
Human
Phenotypic Data
Demographic Data
Relation to Proband
aunt-in-law
Age at Sampling
70 YR
Sex
Female
Age of Onset(If not a control)
No Data
Age at Diagnosis(If not a control)
No Data
Hispanic or Latino/Not Hispanic or Latino
Not Hispanic/Latino
Racial Category
White
Country
USA
Diagnosed By
No Data
Data Elements
Clinical Element Type: Control
(Baseline)
Data collected by
This data was collected by
Neurologist
Other physician-non-Neurologist
clinical research assistant/nurse
Longitudinal Data
Is this data Longitudinal (Follow-Up) Data?
yes
no
Type of Control
Type of Control
Population control
Medical History
Amyotrophic lateral sclerosis
present
absent
Ataxia
present
absent
Autism
present
absent
Bipolar (manic-depressive)
present
absent
Brain aneurysm
present
absent
Cancer
present
absent
Dementia
Alzheimer's
Dementia
absent
Depression
present
absent
Diabetes
present
absent
Dystonia
present
absent
Epilepsy
present
absent
Heart disease
present
absent
Hypertension
present
absent
Memory loss
No Data
Migraine
present
absent
Multiple sclerosis
present
absent
Muscle disease
present
absent
Obsessive Compulsive
No Data
Parkinson's
present
absent
Schizophrenia
present
absent
Stroke
present
absent
Suicide/Attempt
present
absent
Tourettes
No Data
Other
present
absent
Family History
Amyotrophic lateral sclerosis
present
absent
Ataxia
present
absent
Autism
present
absent
Bipolar (manic-depressive)
present
absent
Brain aneurysm
present
absent
Cancer
present
absent
Dementia
Alzheimer's
Dementia
absent
Depression
present
absent
Diabetes
present
absent
Dystonia
present
absent
Epilepsy
present
absent
Heart disease
present
absent
Hypertension
present
absent
memory loss
present
absent
Migraine
present
absent
Multiple sclerosis
present
absent
Muscle disease
present
absent
Obsessive Compulsive
No Data
Parkinson's
present
absent
Schizophrenia
present
absent
Stroke
present
absent
Suicide/Attempt
present
absent
Tourettes
No Data
Other
present
absent
Optional data
smoking history
never
former smoker
current smoker
years smoking
No Data
Neurological examination
yes
no
State Examination (MMSE) score
No Data
Handedness
No Data
External Links
dbGaP Link
phs000126
Images
View
pedigree
Culture Protocols
Temperature
37 C
Percent CO2
5%
Medium
Roswell Park Memorial Institute Medium 1640 with 2mM L-glutamine or equivalent
Serum
15% fetal bovine serum Not Inactivated
Substrate
None specified
Subcultivation Method
dilution - add fresh medium
Supplement
-
Pricing
Commercial and Non-U.S.:
$0.00
USD
U.S. Academic or
Non-profit:
$0.00
USD
NINDS Repository Submitter (past or current) and/or Current NINDS Grantee
$0.00
USD
Add to Cart
How to Order
Ordering Instructions
MTA / Assurance Form
Statement of Research Intent Form
Related Products
Same Subject
ND07730 - B-Lymphocyte
Same Family
NINDS0742
DNA Panels
NDPT095